Free Access

Fig. 15

thumbnail

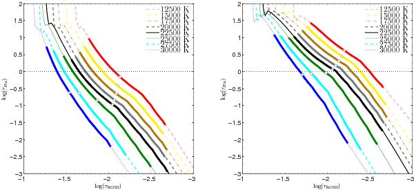
Hα Sobolev optical depth as a function of τross for homogeneous (left) and clumped (right) models. Sites where most of the emergent Hα photons originates from are set with thick solid lines. White squares represent the point in which 50% of the line EW is already formed (see Appendix A).

Current usage metrics show cumulative count of Article Views (full-text article views including HTML views, PDF and ePub downloads, according to the available data) and Abstracts Views on Vision4Press platform.

Data correspond to usage on the plateform after 2015. The current usage metrics is available 48-96 hours after online publication and is updated daily on week days.

Initial download of the metrics may take a while.