Free Access

Fig. 4

thumbnail

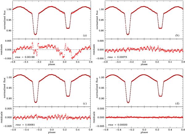
Phase-folded light curve (the top of each panel) and residuals of the best-fit (the bottom of each panel) for models a) with gravity darkening and surface albedo coefficients fixed at β = 0.32 and A = 0.60, b) with A1, A2, and β1 set as free parameters but without accounting for the Doppler beaming, c) with A1, A2, β1, and B set as free parameters but still keeping the oscillations (see Sect. 4.1) and d) removing the oscillations.

Current usage metrics show cumulative count of Article Views (full-text article views including HTML views, PDF and ePub downloads, according to the available data) and Abstracts Views on Vision4Press platform.

Data correspond to usage on the plateform after 2015. The current usage metrics is available 48-96 hours after online publication and is updated daily on week days.

Initial download of the metrics may take a while.