Open Access

Fig. 4

thumbnail

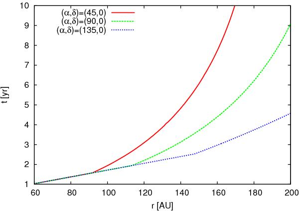
Variable transit-time delay along a line-of-sight as a function of heliocentric distance r from the Sun, caused by the line-of-sight crossing of many individual plasma streamlines with individual, different transit-times. As a baseline, we also display the linear inner heliosheath contribution, where no sufficient source population of energetic ions is found. The ENA energy is taken as 1 keV.

Current usage metrics show cumulative count of Article Views (full-text article views including HTML views, PDF and ePub downloads, according to the available data) and Abstracts Views on Vision4Press platform.

Data correspond to usage on the plateform after 2015. The current usage metrics is available 48-96 hours after online publication and is updated daily on week days.

Initial download of the metrics may take a while.