Free Access

Fig. 14

thumbnail

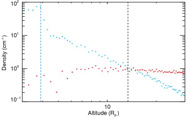
Mean radial density profiles of the neutral (blue dots) and singly ionized (red dots) magnesium populations in the cometary tail. Profiles correspond to the best-fit simulation in the G-scenario and are plotted from the exobase level (Rexo = 3 Rp). Electron-recombination compensates for ionization in the Mg-rec layer below Req = 13.4 Rp (dashed black line), with a very high efficiency below Rrec = 3.9 Rp (dashed blue line). Density of ionized magnesium below ~5 Rp must be taken with caution as ionized particles are few and far between at these altitudes.

Current usage metrics show cumulative count of Article Views (full-text article views including HTML views, PDF and ePub downloads, according to the available data) and Abstracts Views on Vision4Press platform.

Data correspond to usage on the plateform after 2015. The current usage metrics is available 48-96 hours after online publication and is updated daily on week days.

Initial download of the metrics may take a while.