Free Access

Fig. 4

thumbnail

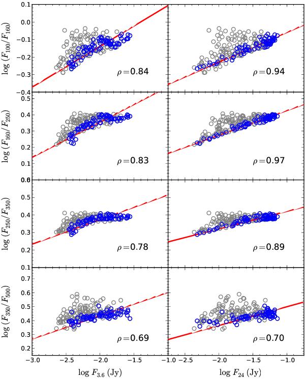
The 100/160, 160/250, 250/350, and 350/500 μm flux ratios compared with the 3.6 and 24 μm emission. Pixels along the major axis shown in blue and off-axis pixels shown in grey. The best-fit linear relation (red line) and the Pearson correlation coefficient are based only on the on-axis pixels.

Current usage metrics show cumulative count of Article Views (full-text article views including HTML views, PDF and ePub downloads, according to the available data) and Abstracts Views on Vision4Press platform.

Data correspond to usage on the plateform after 2015. The current usage metrics is available 48-96 hours after online publication and is updated daily on week days.

Initial download of the metrics may take a while.