Free Access

Fig. 1

thumbnail

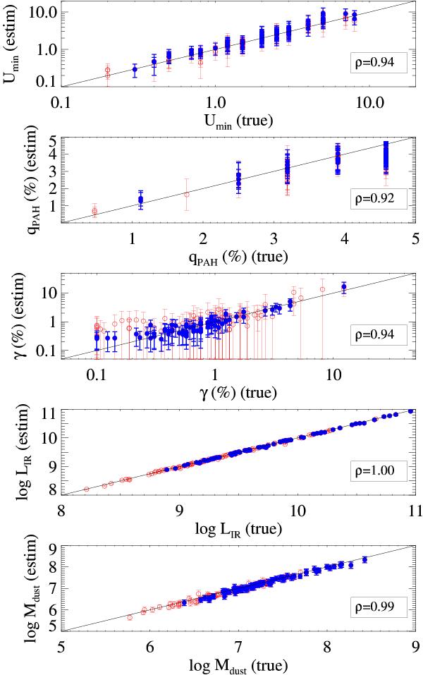
Comparison between the true values of the parameters, from top to bottom: Umin, qPAH, γ, log LIR, log Mdust, and the mock catalogs parameters values estimated from the PDF. Blue filled dots correspond to galaxies having a 24 μm measurement and red empty dots are galaxies with a 22 μm measurement. The solid black line is the 1:1 relationship. The DL07 parameters are constrained, but γ needs the 24 μm from MIPS to be properly estimated.

Current usage metrics show cumulative count of Article Views (full-text article views including HTML views, PDF and ePub downloads, according to the available data) and Abstracts Views on Vision4Press platform.

Data correspond to usage on the plateform after 2015. The current usage metrics is available 48-96 hours after online publication and is updated daily on week days.

Initial download of the metrics may take a while.