Free Access

Fig. 3

thumbnail

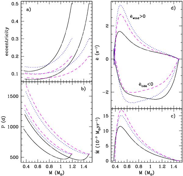
Evolution of the eccentricity a), orbital period b), wind mass loss rate c) and ė contributions d) as a function of the donor’s mass under various physical configurations. The initial period is the same for all simulations and equal to 550 days. The three curves in panel a) and b) starting at M = 1.5 M show the evolution of a 1.5 + 1.0 M system for initial eccentricities equal to 0.5 (black, solid), 0.3 (blue, dotted) and 0.2 (red, short-dashed). The evolution of a 1.2 + 1.0 M system with same initial eccentricities is also shown with the same line coding but different colors. In the right panels, only the properties of the 1.5 + 1.0 M system are shown. The positive ė corresponds to the pumping term, the negative part to the tidal one.

Current usage metrics show cumulative count of Article Views (full-text article views including HTML views, PDF and ePub downloads, according to the available data) and Abstracts Views on Vision4Press platform.

Data correspond to usage on the plateform after 2015. The current usage metrics is available 48-96 hours after online publication and is updated daily on week days.

Initial download of the metrics may take a while.