Free Access

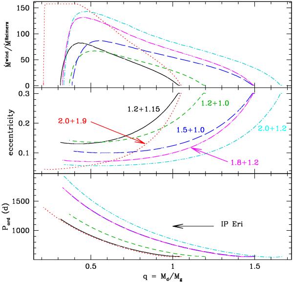
Fig. 4

thumbnail

Evolution of the wind-enhancement factor (top), eccentricity (mid) and period (bottom) as a function of the mass ratio for the different initial configurations specified in the graph. All systems have an initial period of 550 d and an eccentricity e = 0.3. The arrow indicates the current orbital period of IP Eri. Note the saturation of the mass-loss rate in the 2.0+1.9 M system (top panel).

Current usage metrics show cumulative count of Article Views (full-text article views including HTML views, PDF and ePub downloads, according to the available data) and Abstracts Views on Vision4Press platform.

Data correspond to usage on the plateform after 2015. The current usage metrics is available 48-96 hours after online publication and is updated daily on week days.

Initial download of the metrics may take a while.