Free Access

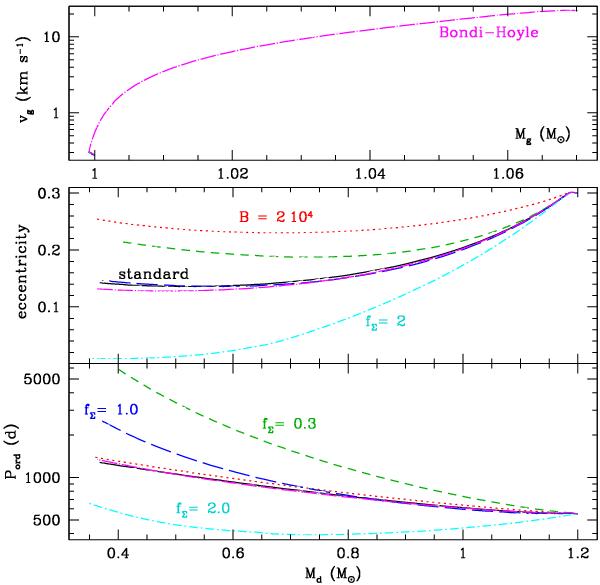
Fig. 5

thumbnail

Evolution of the surface spin velocity of the gainer as a function of its mass (top, with fjacc = 0.1) and of the eccentricity (mid) and period (bottom) as a function of the donor’s mass under different physical assumptions as specified in the graph. The initial configuration is a 1.2 + 1.0 M system, with an initial period of 550 d and an eccentricity e = 0.3 (see text for details).

Current usage metrics show cumulative count of Article Views (full-text article views including HTML views, PDF and ePub downloads, according to the available data) and Abstracts Views on Vision4Press platform.

Data correspond to usage on the plateform after 2015. The current usage metrics is available 48-96 hours after online publication and is updated daily on week days.

Initial download of the metrics may take a while.