Free Access

Fig. 5

thumbnail

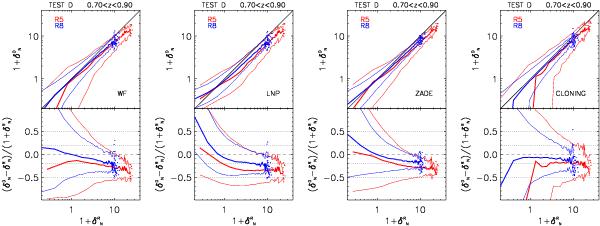
Comparison of overdensities for Test D, for WF, LNP, ZADE, and cloning (from left to right), for the redshift bin 0.7 < z < 0.9 and tracers with MB − log 10(h) ≤ −19.4 − z. x-axis: overdensity in the reference catalogue (); y-axis, top panels: overdensity in the test catalogue (); y-axis, bottom panels: relative error (). The thick lines are the median value of the quantity displayed on the y-axis in each given x-axis bin. Thin lines represent the 16th and 84th percentiles of its distribution. Points are single cells, when cells per bin are <20 (in which case we do not compute a median and percentiles). Red and blue lines/symbols are for spheres with radius R5 and R8, respectively. See text for details about tests.

This figure is made of several images, please see below:

Current usage metrics show cumulative count of Article Views (full-text article views including HTML views, PDF and ePub downloads, according to the available data) and Abstracts Views on Vision4Press platform.

Data correspond to usage on the plateform after 2015. The current usage metrics is available 48-96 hours after online publication and is updated daily on week days.

Initial download of the metrics may take a while.