Free Access

Fig. 9

thumbnail

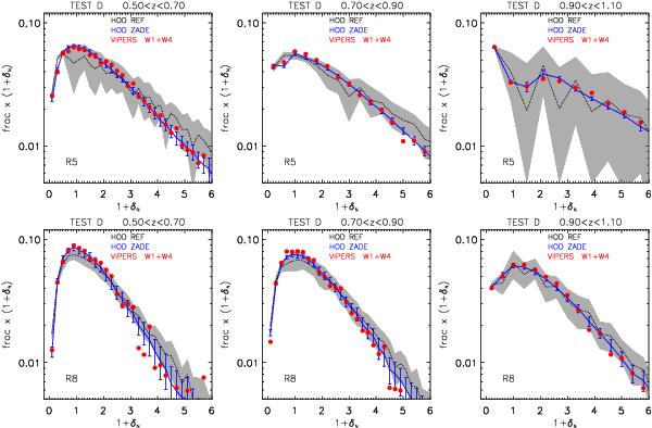
Distributions of reference (black line) and real VIPERS overdensities (points) for the three redshift bins 0.5 < z < 0.7, 0.7 < z < 0.9, and 0.9 < z < 1.1 (from left to right), with tracers with MB − log 10(h) ≤ − 18.9 − z, MB − log 10(h) ≤ − 19.4 − z, and MB − log 10(h) ≤ − 19.9 − z, respectively. Grey-shaded area is the rms around the black line, computed using the 26 light cones. Top row is for cells with R = 5 h-1 Mpc, bottom row for cells with R = 8 h-1 Mpc. Real VIPERS overdensities are computed with the ZADE method. For comparison, the solid blue line with vertical error bars is the result of Test D (ZADE). To better appreciate the differences among the series of points, the (1 + δN) distribution on the y-axis has been multiplied by the corresponding value of 1 + δN itself.

This figure is made of several images, please see below:

Current usage metrics show cumulative count of Article Views (full-text article views including HTML views, PDF and ePub downloads, according to the available data) and Abstracts Views on Vision4Press platform.

Data correspond to usage on the plateform after 2015. The current usage metrics is available 48-96 hours after online publication and is updated daily on week days.

Initial download of the metrics may take a while.