Free Access

Fig. 2

thumbnail

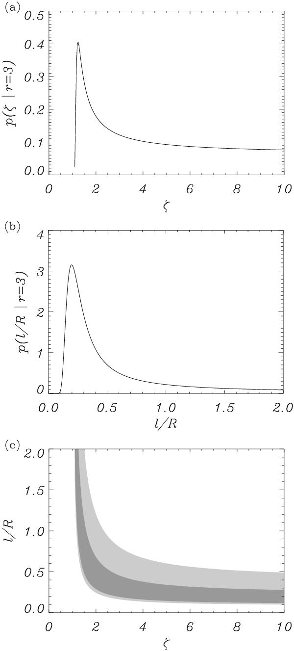
a) and b) Marginal posteriors for ζ and l/R for an inversion with a measured damping ratio r = 3 and σ = 1, using uniform priors in the ranges ζ ∈ [ 1.1−10 ] and l/R ∈ [0.01−2]. c) Joint two-dimensional posterior distribution for the two inferred parameters. The light and dark grey shaded regions indicate the 95% and 68% credible regions, respectively.

This figure is made of several images, please see below:

Current usage metrics show cumulative count of Article Views (full-text article views including HTML views, PDF and ePub downloads, according to the available data) and Abstracts Views on Vision4Press platform.

Data correspond to usage on the plateform after 2015. The current usage metrics is available 48-96 hours after online publication and is updated daily on week days.

Initial download of the metrics may take a while.