Free Access

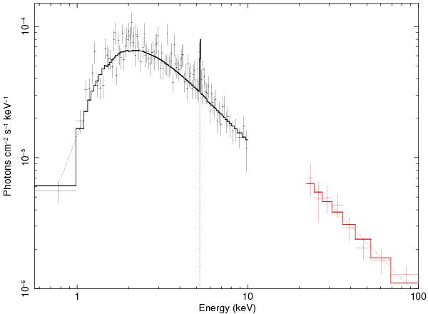
Fig. 3

thumbnail

0.5–110 keV XMM-IBIS best-fit plot; black data points are XMM measurements, while red data points are from IBIS. The model employed is a partially absorbed power law plus a neutral iron line.

Current usage metrics show cumulative count of Article Views (full-text article views including HTML views, PDF and ePub downloads, according to the available data) and Abstracts Views on Vision4Press platform.

Data correspond to usage on the plateform after 2015. The current usage metrics is available 48-96 hours after online publication and is updated daily on week days.

Initial download of the metrics may take a while.