Free Access

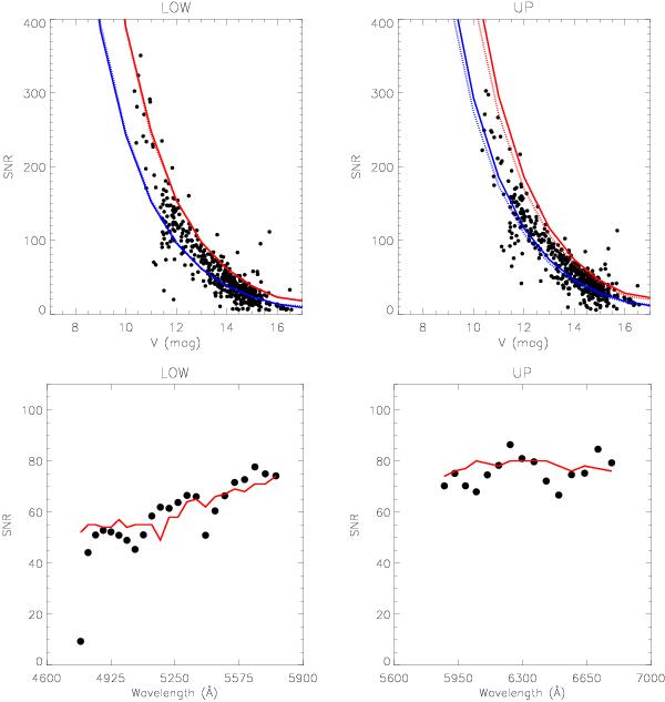
Fig. 7

thumbnail

Top panels: comparison between predicted (continuous lines) and measured (black dots) S/Ns for the stars observed during the first 18 months of the survey, with known V magnitude from the literature or from public archives. The upper and lower spectra are shown in the left and right panels, respectively. The lines show the predicted S/N calculated by the ESO exposure time calculator (vers. 5.0.1) in the 54705520 Å (left panel) and the 62506320 Å (right panel) spectral ranges, considering an exposure time of 3000 s, an airmass of 1.2, the input spectra of a K2 (continuous line) and a G0 (dotted line) star, and two values of seeing 0.66″ (red line) and 1.57″ (blue line), which correspond to the 10th and 90th percentile ranks of the seeing measured during the observations. The black dots represent the S/Ns of the observed spectra measured in the same wavelength range using the DER S/N algorithm (see Sect. 6) and scaled to the exposure time of 3000 s, assuming that the S/N is photon-limited (i.e. S/). Bottom panels: comparison between predicted (continuous red line) and measured S/Ns (black dots) as a function of wavelength for the star 18280330+0639516. The lower and upper wavelength ranges are shown in the left and right panels, respectively.

This figure is made of several images, please see below:

Current usage metrics show cumulative count of Article Views (full-text article views including HTML views, PDF and ePub downloads, according to the available data) and Abstracts Views on Vision4Press platform.

Data correspond to usage on the plateform after 2015. The current usage metrics is available 48-96 hours after online publication and is updated daily on week days.

Initial download of the metrics may take a while.