Free Access

Fig. 3

thumbnail

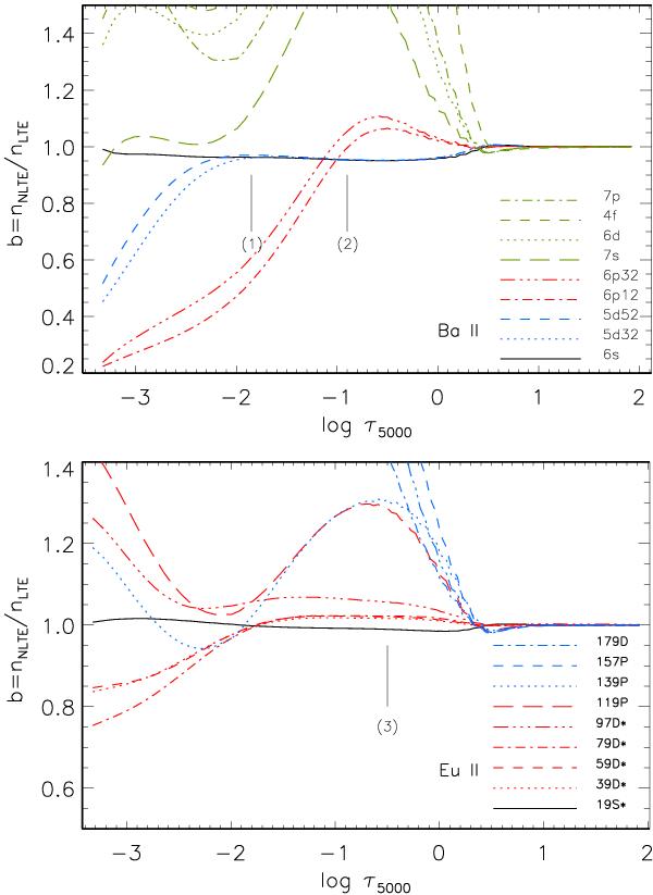
Departure coefficients, b, for the selected levels of Ba ii (top panel) and Eu ii (bottom panel) as a function of log τ5000 in the model atmosphere 4800/1.5/−3.1. The vertical lines indicate the locations of line core formation depths for Ba ii 4554 (1), 5853 Å (2), and Eu ii 4129 Å (3). The SE calculations were performed with [Ba/Fe] = 0.7 and [Eu/Fe] = 1.6.

This figure is made of several images, please see below:

Current usage metrics show cumulative count of Article Views (full-text article views including HTML views, PDF and ePub downloads, according to the available data) and Abstracts Views on Vision4Press platform.

Data correspond to usage on the plateform after 2015. The current usage metrics is available 48-96 hours after online publication and is updated daily on week days.

Initial download of the metrics may take a while.