Free Access

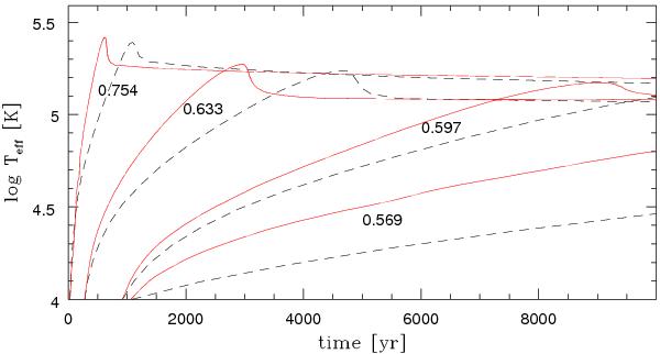
Fig. 1

thumbnail

Comparison of four interpolated Blöcker 1995 post-AGB tracks (solid, red lines) with Vassiliadis & Wood (1994) post-AGB tracks (dashed, in black) of the same mass. Each set of models are labelled with the core mass. The VW94 tracks are shifted to the same age as the corresponding Blöcker track at Teff = 104 K to correct for the different transition times.

Current usage metrics show cumulative count of Article Views (full-text article views including HTML views, PDF and ePub downloads, according to the available data) and Abstracts Views on Vision4Press platform.

Data correspond to usage on the plateform after 2015. The current usage metrics is available 48-96 hours after online publication and is updated daily on week days.

Initial download of the metrics may take a while.