Free Access

Fig. 11

thumbnail

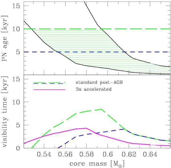
Top panel: kinematic (nebular) ages derived from the interpolated Blöcker tracks (without the 0.546 M model) for the point (i) when the star reaches 20 kK (lower solid line) and (ii) when the star has faded by a factor of 10 in luminosity (upper solid line). The dashed lines show the 10 kyr age when the nebula is assumed to become optically thin, and the 5 kyr age corresponds to the size limit of the HST-selected sample of 5 arcsec. The hashed area defines the visibility time of a bright PN. Lower panel: corresponding visibility time. The long-dashed (green) line shows the visibility time for the 10 kyr limit. The dashed (blue) line shows the visibility time for the HST-selected sample (5 kyr limit). The solid line shows the same but for the accelerated tracks.

Current usage metrics show cumulative count of Article Views (full-text article views including HTML views, PDF and ePub downloads, according to the available data) and Abstracts Views on Vision4Press platform.

Data correspond to usage on the plateform after 2015. The current usage metrics is available 48-96 hours after online publication and is updated daily on week days.

Initial download of the metrics may take a while.