Free Access

Fig. B.1

thumbnail

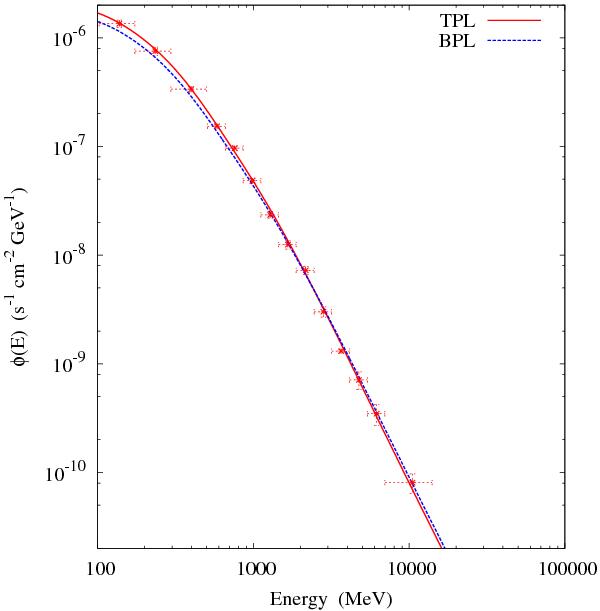
The differential spectrum for Orion B including the low energy data points down to 100 MeV. The dotted curve was calculated using the BPL proton spectrum described in the text with Eb = 2 GeV,γ1 = 1.0 and γ2 = 2.84, while the solid curve using TPL model with γ = 2.88.

Current usage metrics show cumulative count of Article Views (full-text article views including HTML views, PDF and ePub downloads, according to the available data) and Abstracts Views on Vision4Press platform.

Data correspond to usage on the plateform after 2015. The current usage metrics is available 48-96 hours after online publication and is updated daily on week days.

Initial download of the metrics may take a while.