Free Access

Fig. 1

thumbnail

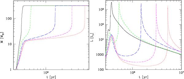
Simulations of the in situ formation of Jupiter for Σs,0 = 10 g/cm2 as a function of the grain opacity reduction factor. The left panel shows the total mass as a function of time. The right panel is the total luminosity (including the intrinsic and the shock luminosity) in units of the intrinsic luminosity of Jupiter today. The curves correspond, from left to right, to fopa = 10-4 (black solid), 0.001 (short-dashed green), 0.01 (long-dashed blue), 0.1 (dash-dotted magenta), and 1 (dotted red line). The influence of fopa on the duration of the plateau phase II is obvious.

This figure is made of several images, please see below:

Current usage metrics show cumulative count of Article Views (full-text article views including HTML views, PDF and ePub downloads, according to the available data) and Abstracts Views on Vision4Press platform.

Data correspond to usage on the plateform after 2015. The current usage metrics is available 48-96 hours after online publication and is updated daily on week days.

Initial download of the metrics may take a while.