Free Access

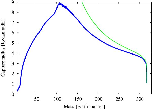
Fig. 6

thumbnail

Capture radius for 100 km planetesimals as a function of mass for a growing giant planet. The simulation uses the same initial conditions as the case J1 in P96. The capture radius is the thick blue line, while the green line is the total radius.

Current usage metrics show cumulative count of Article Views (full-text article views including HTML views, PDF and ePub downloads, according to the available data) and Abstracts Views on Vision4Press platform.

Data correspond to usage on the plateform after 2015. The current usage metrics is available 48-96 hours after online publication and is updated daily on week days.

Initial download of the metrics may take a while.