Free Access

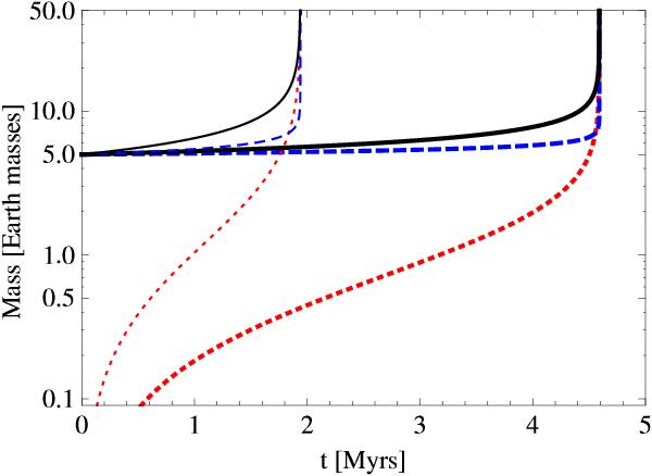
Fig. A.1

thumbnail

Semi-analytical solution for the temporal evolution of the core mass (dashed blue), envelope mass (dotted red), and total mass (solid black lines). Thin lines use the parameters of Ida & Lin (2004), while thick lines use those of Miguel et al. (2011).

Current usage metrics show cumulative count of Article Views (full-text article views including HTML views, PDF and ePub downloads, according to the available data) and Abstracts Views on Vision4Press platform.

Data correspond to usage on the plateform after 2015. The current usage metrics is available 48-96 hours after online publication and is updated daily on week days.

Initial download of the metrics may take a while.