Free Access

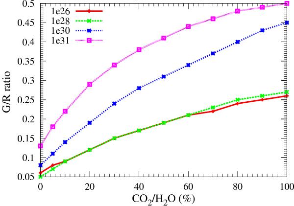
Fig. 8

thumbnail

Calculated G/R ratio as a function of CO2 abundance for different water production rates, with 10% CO abundance relative to H2O in the coma. These calculations are done at heliocentric and geocentric distances of 1 au using a square slit of side 5′′.

Current usage metrics show cumulative count of Article Views (full-text article views including HTML views, PDF and ePub downloads, according to the available data) and Abstracts Views on Vision4Press platform.

Data correspond to usage on the plateform after 2015. The current usage metrics is available 48-96 hours after online publication and is updated daily on week days.

Initial download of the metrics may take a while.