Free Access

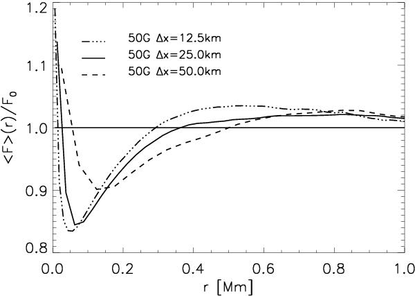
Fig. 13

thumbnail

Dependence on numerical resolution. Bolometric flux as a function of distance for the 50 G simulation in a snapshot after 25 min simulation time. Horizontal resolution Δx = 12.5 km (dot-dashed), 25 km (solid), 50 km (dashed).

Current usage metrics show cumulative count of Article Views (full-text article views including HTML views, PDF and ePub downloads, according to the available data) and Abstracts Views on Vision4Press platform.

Data correspond to usage on the plateform after 2015. The current usage metrics is available 48-96 hours after online publication and is updated daily on week days.

Initial download of the metrics may take a while.