Free Access

Fig. 1

thumbnail

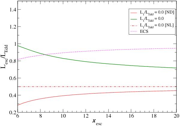
Minimum luminosity that will eject to infinity a particle initially in circular orbit at xesc. Plot compares solutions of the full e.o.m. (solid green curve, Eqs. (1), (2)) with solutions of the simplified equations that neglect the effects of radiation drag ([ND], thin red line, Eqs. (7), (8)). Initial luminosity is k1 = L1/LEdd = 0, stellar radius X = 5. The Newtonian limit is also shown ([NL], dot-dashed line), as well as the radius of the Eddington capture sphere (ECS). See text for details.

Current usage metrics show cumulative count of Article Views (full-text article views including HTML views, PDF and ePub downloads, according to the available data) and Abstracts Views on Vision4Press platform.

Data correspond to usage on the plateform after 2015. The current usage metrics is available 48-96 hours after online publication and is updated daily on week days.

Initial download of the metrics may take a while.