Free Access

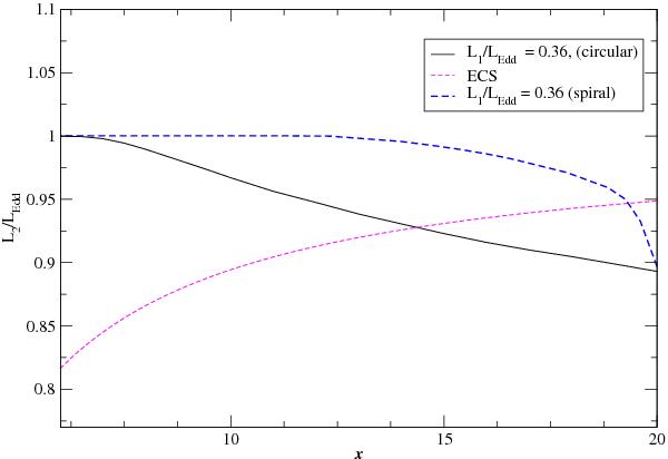
Fig. 10

thumbnail

Variation of the minimum luminosity required to eject the test particle decreases with radial distance. Dashed (blue) curve is showing the variation in case of an “accreting” test particle in a spiral trajectory and solid black curve is showing the variation for a circular orbit initial condition (Fig. 5). In both cases the initial luminosity k1 = 0.36 is fixed, (magenta) short-dashed curve is representing the ECS for final luminosity.

Current usage metrics show cumulative count of Article Views (full-text article views including HTML views, PDF and ePub downloads, according to the available data) and Abstracts Views on Vision4Press platform.

Data correspond to usage on the plateform after 2015. The current usage metrics is available 48-96 hours after online publication and is updated daily on week days.

Initial download of the metrics may take a while.