Free Access

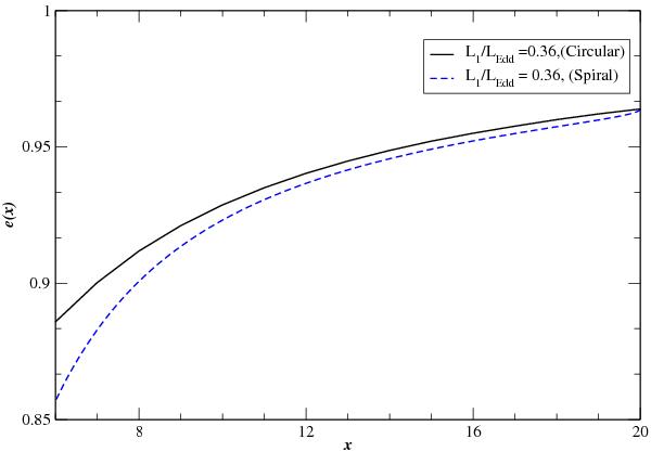
Fig. 11

thumbnail

Relativistic specific energy as a function of radial distance for test particles in circular orbits and one in a spiral trajectory starting at an initial radial distance of x = 20.0. In both curves the luminosity is fixed at k1 = 0.36. In case of the circular orbits the drag terms are neglected, while the spiral trajectory is a solution of the full e.o.m. with the drag terms included.

Current usage metrics show cumulative count of Article Views (full-text article views including HTML views, PDF and ePub downloads, according to the available data) and Abstracts Views on Vision4Press platform.

Data correspond to usage on the plateform after 2015. The current usage metrics is available 48-96 hours after online publication and is updated daily on week days.

Initial download of the metrics may take a while.