Free Access

Fig. 2

thumbnail

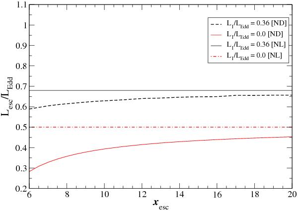
Radius of the escape sphere when drag is neglected. The minimum luminosity, kesc, that unbinds a particle in circular orbit at xesc is shown as a function of the initial orbital radius, for two values of initial luminosity, k1 = 0.0, and 0.36. Stellar radius is X = 5.0. Constant kesc lines represent Newtonian limit (NL) for k1 = 0.0,0.36. If there were no drag, particles from all circular orbits of radii in the range 6 ≤ x(0) <xesc(kesc) would escape the system, and the initial radius in the outgoing trajectory, x(0), would be its periastron as well.

Current usage metrics show cumulative count of Article Views (full-text article views including HTML views, PDF and ePub downloads, according to the available data) and Abstracts Views on Vision4Press platform.

Data correspond to usage on the plateform after 2015. The current usage metrics is available 48-96 hours after online publication and is updated daily on week days.

Initial download of the metrics may take a while.