Free Access

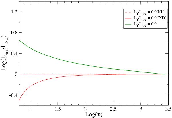
Fig. 3

thumbnail

Convergence of results using Eqs. (1), (2) and (6), (7), with the Newtonian limit. The ratio is plotted of the minimum luminosity sufficient to unbind a particle, initially in a circular GR orbit at k1 = 0, to the corresponding value in the Newtonian limit. Uppermost (thick green) curve corresponds to Eqs. (1) and (2), and red continuous curve to Eqs. (7) and (8).

Current usage metrics show cumulative count of Article Views (full-text article views including HTML views, PDF and ePub downloads, according to the available data) and Abstracts Views on Vision4Press platform.

Data correspond to usage on the plateform after 2015. The current usage metrics is available 48-96 hours after online publication and is updated daily on week days.

Initial download of the metrics may take a while.