Free Access

Fig. 5

thumbnail

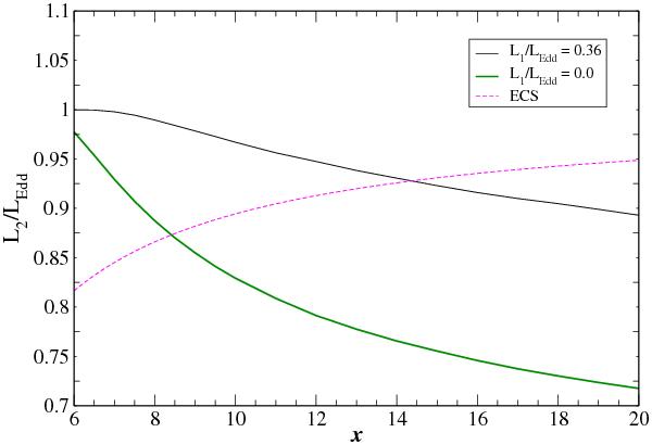
Solid curves: variation with the final luminosity of minimum escape radius, x = xesc(k2), after a sudden change to k2 from k1 = 0, or 0.36. The same curves also show the minimum final luminosity, k2 = kesc(x) required to eject to infinity a particle previously orbiting at x. Stellar radius is X = 5.0. Dotted curve: variation of ECS radius with k2 (see text).

Current usage metrics show cumulative count of Article Views (full-text article views including HTML views, PDF and ePub downloads, according to the available data) and Abstracts Views on Vision4Press platform.

Data correspond to usage on the plateform after 2015. The current usage metrics is available 48-96 hours after online publication and is updated daily on week days.

Initial download of the metrics may take a while.