Free Access

Fig. 4

thumbnail

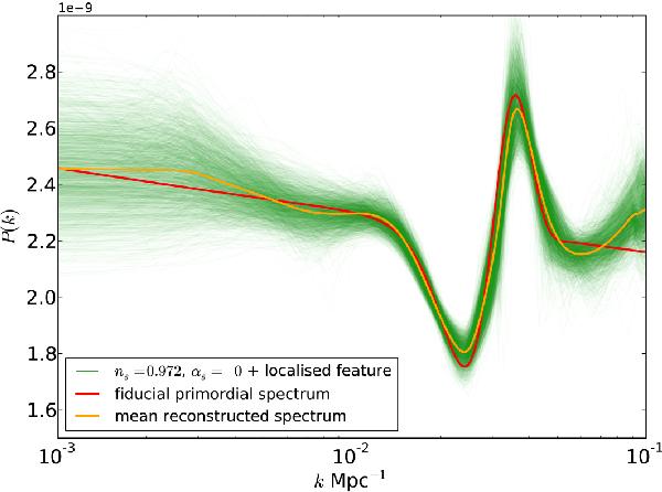
Reconstruction of the primordial power spectrum with ns = 0.972, αs = 0.0, and an additional feature around k = 0.03 Mpc-1 shown in green. The 2000 reconstructions are superimposed with their mean shown in orange. The fiducial input spectrum is shown in red. As can be seen, PRISM is able to recover both the position and the amplitude of the feature with great accuracy.

Current usage metrics show cumulative count of Article Views (full-text article views including HTML views, PDF and ePub downloads, according to the available data) and Abstracts Views on Vision4Press platform.

Data correspond to usage on the plateform after 2015. The current usage metrics is available 48-96 hours after online publication and is updated daily on week days.

Initial download of the metrics may take a while.