Free Access

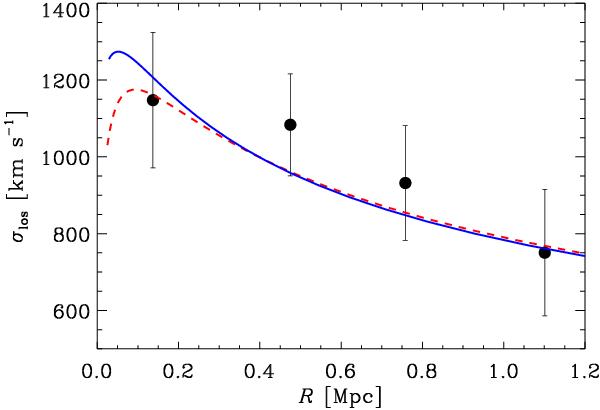
Fig. 9

thumbnail

Observed line-of-sight velocity dispersion profile (points with 1σ error bars) and those predicted by the best-fit NFW models, obtained with the DK (dashed red line), and MAMPOSSt (solid blue line) methods. Only solutions obtained using the rn value found with the zp sample of members are shown for clarity.

Current usage metrics show cumulative count of Article Views (full-text article views including HTML views, PDF and ePub downloads, according to the available data) and Abstracts Views on Vision4Press platform.

Data correspond to usage on the plateform after 2015. The current usage metrics is available 48-96 hours after online publication and is updated daily on week days.

Initial download of the metrics may take a while.