Free Access

Fig. 2

thumbnail

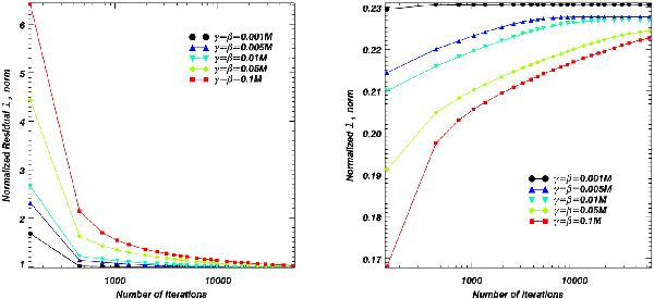
Evolution with the number of iterations of the normalized 2 norm of the residuals (left) and normalized 1 norm of the diffuse and compact component for channel Ka and for various values for the modulus of β = γ. Reaching the upper limit of the data-fidelity constraint leads to a normalized residual 2 norm of 1. The 1 norm was normalized to the 1 norm of the input data in direct space (sum of the absolute values of the pixels in the frequency map). M corresponds to the highest modulus of the spherical harmonic coefficients in the input image.

Current usage metrics show cumulative count of Article Views (full-text article views including HTML views, PDF and ePub downloads, according to the available data) and Abstracts Views on Vision4Press platform.

Data correspond to usage on the plateform after 2015. The current usage metrics is available 48-96 hours after online publication and is updated daily on week days.

Initial download of the metrics may take a while.