Free Access

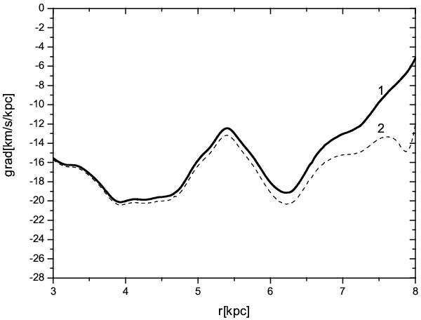
Fig. 10

thumbnail

Vertical gradient of rotation at z = 100 kpc for the original rotation curve and for the toy model curve. The gradient prediction is still high and not significantly changed in a region 0−7 kpc, compared with its absolute value. (The local minimum close to 8 kpc is a result of a discontinuity in the toy model curve.)

Current usage metrics show cumulative count of Article Views (full-text article views including HTML views, PDF and ePub downloads, according to the available data) and Abstracts Views on Vision4Press platform.

Data correspond to usage on the plateform after 2015. The current usage metrics is available 48-96 hours after online publication and is updated daily on week days.

Initial download of the metrics may take a while.