Free Access

Fig. 6

thumbnail

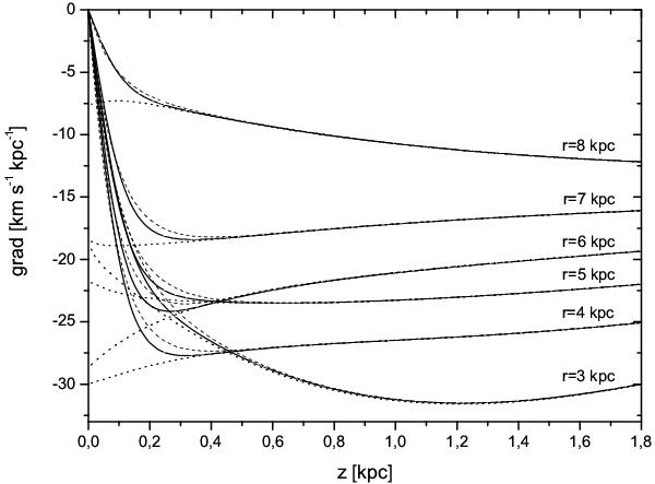
Vertical gradient of rotation in finite-width disk models as a function of altitude above the mid-plane z = 0, shown at various radii: gradient for a disk with the Mexican hat vertical profile (h = 117 pc, solid lines), and gradient for a disk with the exponential vertical profile (h′ = 88 pc, dashed lines). To emphasize the universal gradient behavior at higher altitudes for various disks of the same mass, the results for an infinitesimally thin disk model (with the surface mass density identified with the column mass density of the disk with the Mexican hat vertical profile) is shown (dotted lines).

Current usage metrics show cumulative count of Article Views (full-text article views including HTML views, PDF and ePub downloads, according to the available data) and Abstracts Views on Vision4Press platform.

Data correspond to usage on the plateform after 2015. The current usage metrics is available 48-96 hours after online publication and is updated daily on week days.

Initial download of the metrics may take a while.