Free Access

Fig. 7

thumbnail

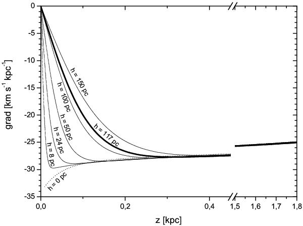
Vertical gradient of rotation in a finite-width disk model with the Mexican hat vertical profile (solid lines), as a function of the altitude above the mid-plane (z = 0), shown at r = 4 kpc for various width-scales h. For comparison, the (dotted line) shows the gradient behavior in the limit of the infinitesimally thin disk model (h → 0). The convergence on that limit is point-wise continuous, although not uniform – the gradient for h = 0 is discontinuous at z = 0. For higher altitudes, the gradient behavior is universal beyond the main concentration of masses.

Current usage metrics show cumulative count of Article Views (full-text article views including HTML views, PDF and ePub downloads, according to the available data) and Abstracts Views on Vision4Press platform.

Data correspond to usage on the plateform after 2015. The current usage metrics is available 48-96 hours after online publication and is updated daily on week days.

Initial download of the metrics may take a while.