Free Access

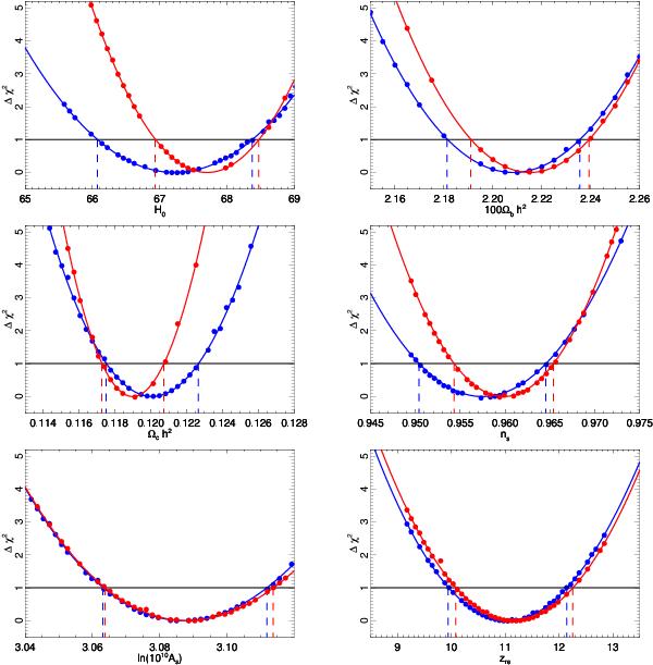
Fig. 2

thumbnail

Profile likelihoods (Δχ2) reconstructed for each ΛCDM cosmological parameter, from the CMB (blue) and CMB+BAO (red) data sets. Each point is the result of a 36-parameter minimization. We reject the points that are outliers of the expected distance to minimum (EDM, Sect. 2.2) distribution. Curves are fits to a third-order polynomial. 68% confidence intervals are obtained by thresholding these curves at unity, and their projections onto the parameter axis are shown.

Current usage metrics show cumulative count of Article Views (full-text article views including HTML views, PDF and ePub downloads, according to the available data) and Abstracts Views on Vision4Press platform.

Data correspond to usage on the plateform after 2015. The current usage metrics is available 48-96 hours after online publication and is updated daily on week days.

Initial download of the metrics may take a while.