Free Access

Fig. 3

thumbnail

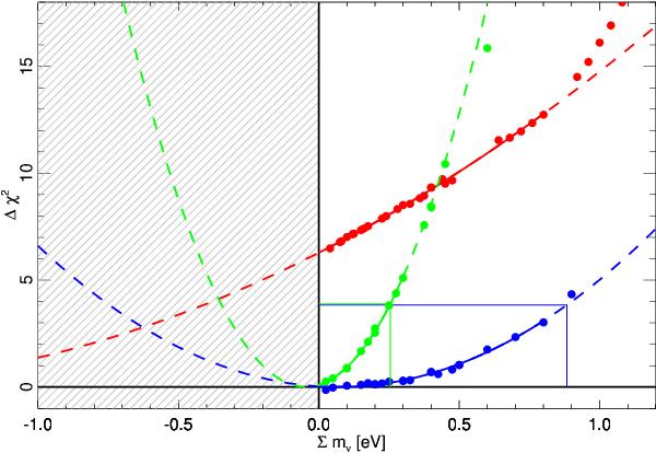
Neutrino mass profile likelihood for the CMB (red), CMB+lensing (blue), and CMB+lensing+BAO (green) data sets. Each point is the result of a 37-parameter fit which can only be computed in the positive region. The points are fit by a parabola and extrapolated into the negative region. For the CMB only case, the parabolic fit agreement is poor and is only shown for discussion. The coloured green/blue lines are used to set 95% confidence upper limits according to the Feldman-Cousins prescription, as described in the text.

Current usage metrics show cumulative count of Article Views (full-text article views including HTML views, PDF and ePub downloads, according to the available data) and Abstracts Views on Vision4Press platform.

Data correspond to usage on the plateform after 2015. The current usage metrics is available 48-96 hours after online publication and is updated daily on week days.

Initial download of the metrics may take a while.