Free Access

Fig. 2

thumbnail

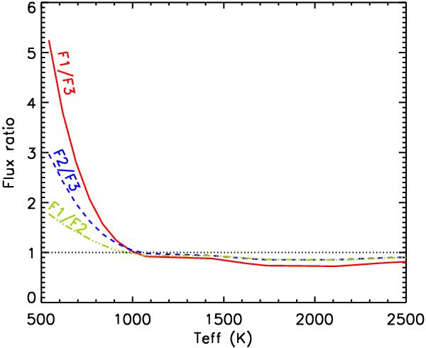
Flux ratio as a function of the effective temperature derived for the NaCo SDI filters (Fig. 1). F1, F2, and F3 refer to the fluxes in the filters at 1.575, 1.600, and 1.625 μm, respectively. The theoretical relations are derived for a given age of 70 Myr, so the surface gravity of the object log  (g) is not constant. It increases from 3.75 to 4.75 for the plot range. We also consider the same photometric zeropoint for all the SDI filters.

Current usage metrics show cumulative count of Article Views (full-text article views including HTML views, PDF and ePub downloads, according to the available data) and Abstracts Views on Vision4Press platform.

Data correspond to usage on the plateform after 2015. The current usage metrics is available 48-96 hours after online publication and is updated daily on week days.

Initial download of the metrics may take a while.