Free Access

Fig. 1

thumbnail

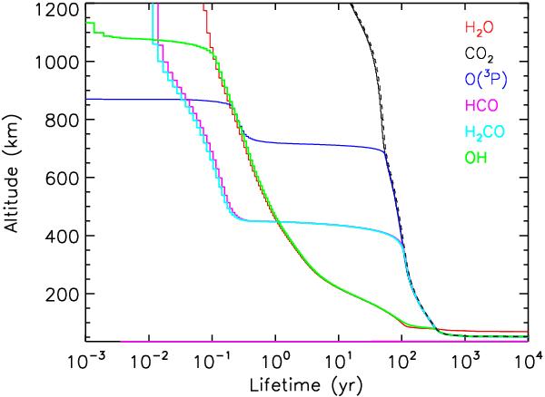
Effective lifetimes (see text for definition) as a function of altitude for oxygen species. These are calculated for OH and O(3P) input fluxes of 2.4 × 105 and 1.6 × 106 cm-2 s-1, respectively, and the H08 chemical network. The effective lifetime for CO2 for an enhanced input OH flux = 5.1 × 106 cm-2 s-1 (needed to match the CO2 profile) is also shown as a dashed black line.

Current usage metrics show cumulative count of Article Views (full-text article views including HTML views, PDF and ePub downloads, according to the available data) and Abstracts Views on Vision4Press platform.

Data correspond to usage on the plateform after 2015. The current usage metrics is available 48-96 hours after online publication and is updated daily on week days.

Initial download of the metrics may take a while.