Free Access

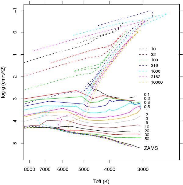
Fig. 4

thumbnail

Model isochrones in the (Teff,log g) plane, for both PMS stars in the age range 0.1–50 Myr and ZAMS stars (solid lines, from Siess et al. 2000), and evolved stars in the age range 10 Myr–10 Gyr (dashed lines, from Marigo et al. 2008). Isochrone ages are labeled in Myr units.

Current usage metrics show cumulative count of Article Views (full-text article views including HTML views, PDF and ePub downloads, according to the available data) and Abstracts Views on Vision4Press platform.

Data correspond to usage on the plateform after 2015. The current usage metrics is available 48-96 hours after online publication and is updated daily on week days.

Initial download of the metrics may take a while.