Free Access

This article has an erratum: [https://doi.org/10.1051/0004-6361/201323317e]


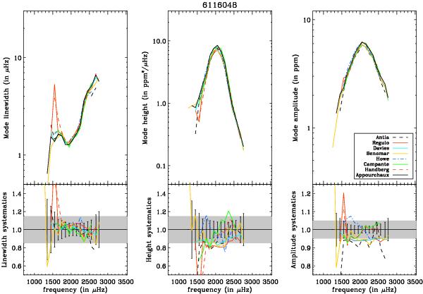
Fig. B.4

thumbnail

Corrected mode linewidth, mode height, and mode amplitude (top), and relative values of these parameters with respect to the reference fit (bottom) as a function of mode frequency for KIC 6116048. The grey band indicates the range of systematic error around the reference fit values of ±15% for mode linewidth and mode height, of ±5% for mode amplitude. The error bars are those of the reference fit.

Current usage metrics show cumulative count of Article Views (full-text article views including HTML views, PDF and ePub downloads, according to the available data) and Abstracts Views on Vision4Press platform.

Data correspond to usage on the plateform after 2015. The current usage metrics is available 48-96 hours after online publication and is updated daily on week days.

Initial download of the metrics may take a while.