Free Access

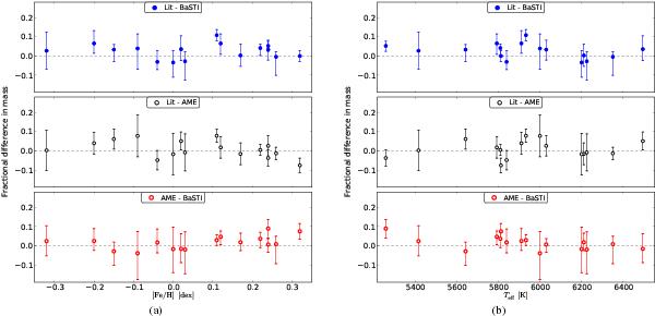
Fig. 9

thumbnail

Comparison of the difference in mass as a function of metallicity (panel a)) and effective temperature (panel b)) for the stars with results from detailed modelling. The different coloured points show the Lit-AME, Lit-BaSTI, and AME-BaSTI differences. The differences have been made fractional by dividing the difference with the mass obtained with AME. The errors have been added in quadrature.

This figure is made of several images, please see below:

Current usage metrics show cumulative count of Article Views (full-text article views including HTML views, PDF and ePub downloads, according to the available data) and Abstracts Views on Vision4Press platform.

Data correspond to usage on the plateform after 2015. The current usage metrics is available 48-96 hours after online publication and is updated daily on week days.

Initial download of the metrics may take a while.