Free Access

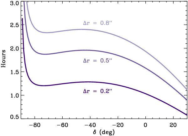
Fig. 14

thumbnail

Time needed for incremental field differential refraction to exceed a given deviation, as a function of target declination. These curves are computed for an instrument similar to 4MOST, a φ = 3 deg FOV spectrograph at the latitude of Paranal. Southern fields can be observed for times longer than one hour without resulting in significant deviations. That is not the case for northern fields, where fibre reconfiguration will be needed within the first hour of integration.

Current usage metrics show cumulative count of Article Views (full-text article views including HTML views, PDF and ePub downloads, according to the available data) and Abstracts Views on Vision4Press platform.

Data correspond to usage on the plateform after 2015. The current usage metrics is available 48-96 hours after online publication and is updated daily on week days.

Initial download of the metrics may take a while.