Free Access

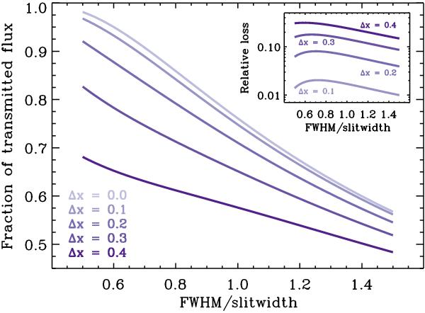
Fig. 2

thumbnail

Fraction of transmitted flux as a function of FWHM-to-slitwidth ratio for a Gaussian point source that is displaced perpendicular to the slit by a fractional amount of the slitwidth, Δx = (xx0) /w. The inset panel shows the flux loss relative to the case where the object is perfectly centred within the slit. A slit length l = 10 w is assumed.

Current usage metrics show cumulative count of Article Views (full-text article views including HTML views, PDF and ePub downloads, according to the available data) and Abstracts Views on Vision4Press platform.

Data correspond to usage on the plateform after 2015. The current usage metrics is available 48-96 hours after online publication and is updated daily on week days.

Initial download of the metrics may take a while.