Open Access

Fig. 12

thumbnail

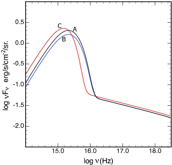
Inferred SED for the best-fit model of the nuclear spectrum of NGC 5427 (model A: MBH = 5 × 107 M, an Eddington fraction of 0.1, a hard X-ray scale factor of 0.2 and log U = −1.3). The vertical scaling factor applies at the inner edge of the model NLR. Note the absence of an intermediate Compton component between 16 < log ν< 18. Such a component would arise naturally in Compton-heated optically-thin photoionised gas close to the ionising source. For comparison, we also show the other models which give a reasonable fit to the observed nuclear spectrum. Model B has the parameters MBH = 5 × 107 M, an Eddington fraction of 0.1 and a hard X-ray scale factor of 0.25 and log U = −1.5, and model C has MBH = 108 M, an Eddington fraction of 0.05 and a hard X-ray scale factor of 0.2 and log U = −2.0. The line fluxes for these are given in detail in Table 2.

Current usage metrics show cumulative count of Article Views (full-text article views including HTML views, PDF and ePub downloads, according to the available data) and Abstracts Views on Vision4Press platform.

Data correspond to usage on the plateform after 2015. The current usage metrics is available 48-96 hours after online publication and is updated daily on week days.

Initial download of the metrics may take a while.