Free Access

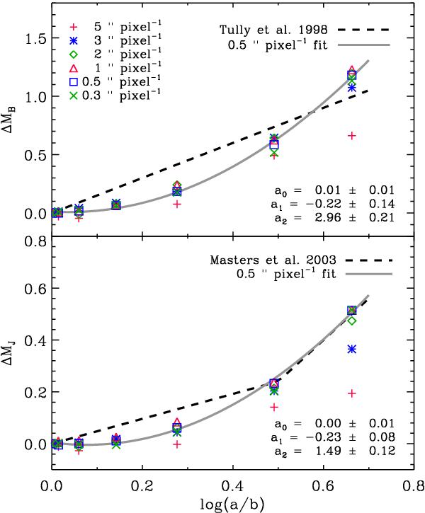
Fig. 6

thumbnail

Amount of dust attenuation in B bands (top) and J bands (bottom) with respect to the ratio between the major axis (a) and the minor axis (b) of the Sb model galaxy. Each symbol represents the attenuated magnitude in each model galaxy with a specific plate grid resolution. The dashed line in the top panel is the fitting function obtained from Tully et al. (1998), and the dashed line in the bottom panel is the bilinear fit obtained from Masters et al. (2003).

Current usage metrics show cumulative count of Article Views (full-text article views including HTML views, PDF and ePub downloads, according to the available data) and Abstracts Views on Vision4Press platform.

Data correspond to usage on the plateform after 2015. The current usage metrics is available 48-96 hours after online publication and is updated daily on week days.

Initial download of the metrics may take a while.