Free Access

Fig. 5

thumbnail

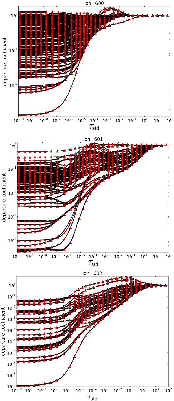
Departure coefficients bi of C I–III for our second test with NLTE treatment of H I and He I–II, C I–III, N I–III, O I–III, and Mg I–III. The red symbols show the results of the 1D calculation whereas the black lines show the results of the 3D calculation for all voxels.

This figure is made of several images, please see below:

Current usage metrics show cumulative count of Article Views (full-text article views including HTML views, PDF and ePub downloads, according to the available data) and Abstracts Views on Vision4Press platform.

Data correspond to usage on the plateform after 2015. The current usage metrics is available 48-96 hours after online publication and is updated daily on week days.

Initial download of the metrics may take a while.