Free Access

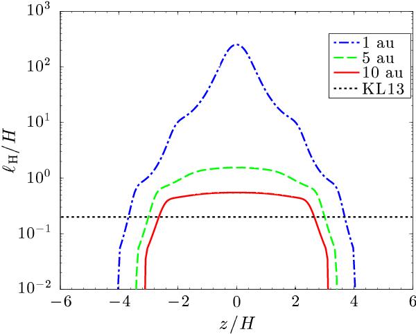
Fig. 3

thumbnail

Hall lengthscale H (Eq. (18)) versus height z at 1, 5, and 10 au. The dotted line denotes the threshold above which saturation via zonal magnetic fields occurs in unstratified simulations with net vertical magnetic flux (KL13).

Current usage metrics show cumulative count of Article Views (full-text article views including HTML views, PDF and ePub downloads, according to the available data) and Abstracts Views on Vision4Press platform.

Data correspond to usage on the plateform after 2015. The current usage metrics is available 48-96 hours after online publication and is updated daily on week days.

Initial download of the metrics may take a while.