Free Access

Fig. 4

thumbnail

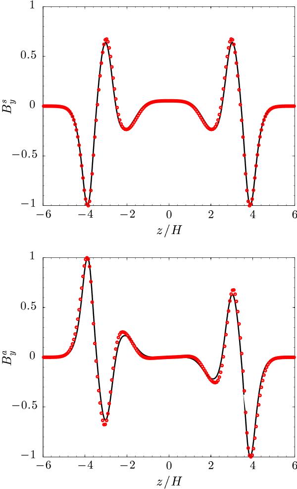
Comparison of By(z) from the simulation (red circles) and from the linear calculation (black line), which include Ohmic and Hall diffusion computed at 1 au with β0 = 105. Top: n = 1 eigenmode and symmetric component of By(z). Bottom: n = 2 eigenmode and antisymmetric component of By(z).

This figure is made of several images, please see below:

Current usage metrics show cumulative count of Article Views (full-text article views including HTML views, PDF and ePub downloads, according to the available data) and Abstracts Views on Vision4Press platform.

Data correspond to usage on the plateform after 2015. The current usage metrics is available 48-96 hours after online publication and is updated daily on week days.

Initial download of the metrics may take a while.