Free Access

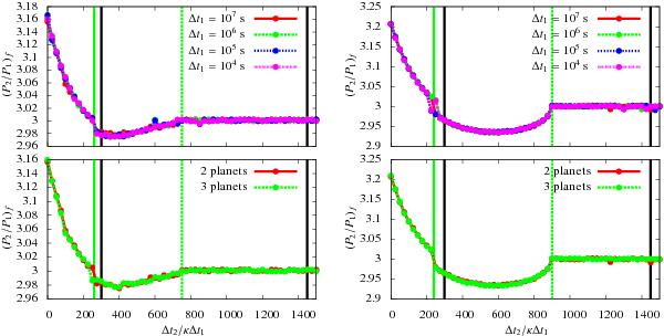
Fig. 4

thumbnail

Final period ratio of GJ 163’s inner planets as a function of the dissipation balance between both planets (Δt2/κΔt1). We fix M1 = 100° (left), 140° (right), and compare the results obtained with Δt1 = 107, 106, 105, and 104 s (top) with an integration time of respectively 0.1, 1, 10, and 100 Myr, which roughly corresponds to 10 Gyr for a realistic value of Δt1 (100 s). We also compare these results with integrations taking into account the third planet that has been detected in the system (bottom; see Bonfils et al. 2013). For this last comparison we use Δt1 = 107 s. We observe only small variations when changing the timescale of the dissipation (Δt1) and no systematic trend. The third planet also does not seem to have a strong effect. The vertical black lines mark the range of Δt2/κΔt1 that may conduct to internal circulation according to our analytical model. The green lines highlight the same range obtained with the simulations. The lower bound (solid green line) is at Δt2/κΔt1 = 260 in the case M1 = 100° (left) and 240 for M1 = 140° (right). It does not vary much between the experiments and it is close to the analytical value (300). The upper bound (dashed green line) is at 750 (left) and 900 (right) while the analytical value is 1450. The difference between the numerical results, and between the numerical and analytical values can easily be explained (see Sect. 4.1.3).

Current usage metrics show cumulative count of Article Views (full-text article views including HTML views, PDF and ePub downloads, according to the available data) and Abstracts Views on Vision4Press platform.

Data correspond to usage on the plateform after 2015. The current usage metrics is available 48-96 hours after online publication and is updated daily on week days.

Initial download of the metrics may take a while.